Buying a home in Canada is often described as a cornerstone of achieving financial stability and building generational wealth. But the dream of homeownership has become increasingly challenging, with the federal government’s mortgage stress test adding another layer of complexity. This measure has been updated several times, affecting both potential homebuyers and the professionals who guide them. I’ll break down what the stress test is, why it exists, and how it affects homebuyers and the real estate market.
Under the new rules, all insured mortgage holders can switch lenders at renewal without undergoing another mortgage stress test. This measure is intended to foster more competition among lenders and provide homeowners with opportunities to secure more favorable mortgage terms.
Department of finance Canada
What is the Mortgage Stress Test?
How the Stress Test Impacts Buyers and the Market
How Mortgage Agents Underwrite Using the Stress Test
Benefits of the Mortgage Stress Test
Key Takeaways: Navigating the Stress Test
Actionable Steps for Real Estate Professionals

What is the Mortgage Stress Test?
The Canadian mortgage stress test is a set of guidelines introduced by the federal government to ensure homebuyers can afford their mortgages even if interest rates rise. Introduced in 2016, it was initially aimed at uninsured mortgages (those with a down payment of 20% or more), but it was later expanded to include insured mortgages (those with a down payment of less than 20%). The test requires homebuyers to qualify for a mortgage at a higher interest rate than what they are actually offered.
The benchmark for this qualification is either the Bank of Canada’s five-year posted rate or the contracted rate plus 2%, whichever is higher. As of late 2024, the benchmark rate remains high, limiting how much Canadians can borrow.

How the Stress Test Impacts Buyers and the Market
The stress test has a big impact on buyers struggling to purchase a home, reduces what sellers can get for their home, and has an overall negative effect on the real estate market in the following ways:
- Reduced Mortgage Qualification
- Fewer Buyers in the Market
- Housing prices vs. Mortgage Affordability
- Increased Tax Burden
Reduced Mortgage Qualification
The stress test has significantly reduced the amount Canadians can qualify for. For example, if a buyer is pre-approved for a $500,000 mortgage, the stress test might reduce this amount to $400,000, meaning they can afford less home in an already pricey market. In cities like Toronto and Vancouver, where housing prices have skyrocketed, this makes homeownership even more challenging.
Fewer Buyers in the Market
Because fewer people qualify for mortgages, demand in the housing market decreases. While this might seem like a logical step to curb overheated markets, it also means that builders and developers have fewer potential buyers. The irony is that while the government aims to make housing more affordable, fewer Canadians can afford to enter the market.
Housing Prices vs. Mortgage Affordability
Despite rising house prices, the stress test hasn’t adapted to these realities. This misalignment has led to a paradox where house prices continue to increase, while mortgage affordability decreases.
Increased Tax Burden
The real estate market has faced increasing taxes, with the government treating housing and shelter similarly to “sin taxes” on alcohol or tobacco, despite the fact that housing is a basic human need. High property taxes, land transfer taxes, burdensome development charges, and other associated costs continue to climb, further discouraging potential buyers. Where development fees 20 years ago made up maybe 5% of the cost of building a new home, today those taxes are around 30% and, in some cases, can rise to almost 50% of the cost of providing a new home. Canadian governments at all levels have a spending problem. Rather than addressing this issue, they choose to raise taxes. Those taxes pass through and become embedded in the price of homes, pushing them out of reach of Canadians.

Real World Examples
John and Sarah’s Struggle in Toronto: John and Sarah, a young couple in Toronto, had their hearts set on a modest two-bedroom home in the city. They initially qualified for a $600,000 mortgage, but after applying the stress test, their approval amount dropped to $500,000, putting their dream home out of reach.
Halifax’s Tightened Market: In Halifax, the stress test has affected the market differently. With a growing population and limited housing supply, the stress test has made it difficult for buyers to compete, leading to bidding wars even in mid-tier markets.
How Mortgage Agents Underwrite Using the Stress Test
Mortgage agents use the stress test during underwriting to ensure that borrowers can afford their mortgage payments even if interest rates rise. The test sets a higher qualifying rate, which is usually the greater of:
- The Bank of Canada’s five-year benchmark rate (currently around 5.25%).
- The actual mortgage interest rate offered by the lender plus 2%.
Example of Applying the Stress Test
Let’s assume a borrower has the following profile:
- Household income: $120,000/year
- Down payment: 20% ($200,000 on a $1,000,000 home)
- Amortization period: 25 years
- Mortgage interest rate offered: 5.0%
Before the Stress Test
To calculate what the borrower could afford before the stress test, let’s use 5% as the interest rate for simplicity:
- Calculate the mortgage amount:
- Home price: $1,000,000
- Down payment: $200,000
- Mortgage amount: $1,000,000 – $200,000 = $800,000
- Monthly mortgage payment calculation:
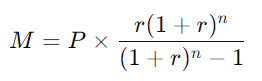
The formula for the monthly payment is:

Where:
- M = Monthly payment
- P = Principal amount = $800,000
- r = Monthly interest rate (annual interest rate / 12)
- n = Total number of payments (years × 12)
Using the offered interest rate of 5.0%:
- r = 5.0% / 12 = 0.004167
- n = 25 × 12 = 300 months
Let’s calculate the monthly payment:
After calculating the monthly payment, the monthly mortgage payment without the stress test would be approximately $4,676.72 at a 5.0% interest rate. This means the borrower could initially qualify for a mortgage of $800,000 on a $1,000,000 home.
Applying the Stress Test
Now, let’s apply the stress test. The borrower must qualify at the greater of:
- The Bank of Canada’s five-year benchmark rate (currently 5.25%).
- The offered rate plus 2%, which is 5.0% + 2% = 7.0%.
In this case, the qualifying rate is 7.0%, as it is higher than the benchmark rate of 5.25%.
- Monthly payment calculation at 7.0% interest rate:
Let’s recalculate the monthly payment using the 7.0% stress test rate:
With the stress test applied at a 7.0% interest rate, the monthly mortgage payment would increase to approximately $5,654.23.
Comparison: Before vs. After the Stress Test
Before the Stress Test (5.0% rate):
- Monthly payment: $4,676.72
- Mortgage amount: $800,000
- Home price: $1,000,000
After the Stress Test (7.0% rate):
- Monthly payment: $5,654.23
Impact of the Stress Test
The borrower’s Debt Service Ratios are used to determine the maximum affordable monthly payment:
Gross Debt Service (GDS) Ratio
The GDS ratio is calculated as follows:

Typically, the maximum GDS is 39%.
Calculating the Maximum Mortgage Under the Stress Test
To illustrate, let’s calculate the maximum mortgage amount the borrower could afford under the stress test:
- Annual income: $120,000
- Maximum GDS limit: 39%
- Available for GDS: 120,000×0.39=46,800120,000 \times 0.39 = 46,800120,000×0.39=46,800
- Monthly GDS: 46,800 / 12 = 3,900
The borrower can only afford a monthly payment of $3,900 under the stress test, which is significantly lower than the $5,654.23 monthly payment calculated at a 7.0% interest rate. Let’s find the new maximum mortgage amount they can qualify for.
With the stress test applied, the maximum mortgage amount the borrower can now afford is approximately $551,799, which would limit their home purchase to around $689,749 (assuming a 20% down payment).
Summary: Before vs. After Stress Test Impact
Before Stress Test:
- Maximum home price: $1,000,000
- Mortgage amount: $800,000
- Monthly payment: $4,676.72
After Stress Test:
- Maximum home price: $689,749
- Mortgage amount: $551,799
- Monthly payment: $3,900
Key Takeaways for Borrowers
- Reduced Borrowing Capacity: The stress test can significantly lower the amount a borrower qualifies for, limiting their home-buying options.
- Focus on Debt Management: To maximize affordability, borrowers should aim to lower existing debts and improve their credit profiles.
- Explore Different Options: Borrowers may need to consider less expensive homes, increase their down payment, or work with Allen Ehlert to explore alternative lenders with different requirements.
The stress test ultimately ensures borrowers are financially prepared, even in a rising interest rate environment, while reducing overall market risk.
Benefits of the Mortgage Stress Test
Despite these pain points, the mortgage stress test serves essential purposes:
- Protecting Canadians from Excessive Debt
- Stabilizing the Housing Market
- Protecting Financial Institutions
- Promoting Responsible Lending and Borrowing
- Aligning with International Standards
Protecting Canadians from Excessive Debt
The stress test ensures buyers don’t overextend themselves financially. By requiring qualification at a higher interest rate, the test builds a buffer for homeowners, reducing the likelihood of mortgage defaults. By ensuring that borrowers can afford higher interest rates, OSFI (Office of the Superintendent of Financial Institutions) aims to prevent widespread defaults that could destabilize the banking system. In a scenario where interest rates rise rapidly, many borrowers could struggle with higher monthly payments, potentially leading to defaults. The stress test mitigates this risk by ensuring borrowers can afford their mortgage even if rates increase by 2% or more.

Stabilizing the Housing Market
By limiting how much buyers can borrow, the stress test helps keep home prices from escalating too quickly. It acts as a counterbalance to rapid price increases, maintaining market stability. By reducing how much Canadians can borrow, the stress test limits speculative buying. This prevents sharp, unsustainable increases in real estate prices, thereby reducing the risk of a housing bubble.
Protecting Financial Institutions
Lenders are better protected from risk, which in turn keeps the Canadian banking system secure. In times of economic downturn, banks are less likely to face massive defaults, safeguarding the broader economy. By limiting mortgage lending to those who can still afford payments under adverse conditions, OSFI aims to minimize the economic impact of future financial crises, helping Canada avoid severe real estate market corrections and banking failures.
Promoting Responsible Lending and Borrowing
OSFI wants to promote responsible lending practices by setting guidelines that encourage conservative mortgage underwriting. This helps prevent aggressive lending and overleveraging by borrowers. The stress test discourages borrowers from taking on excessive debt by reducing the maximum amount they can qualify for. It pushes both lenders and borrowers to adopt a more cautious approach to mortgage financing, which aligns with prudent financial management.
Aligning with International Standards
OSFI implements measures like the stress test to align with international banking and financial stability standards, following the principles set by the Basel Committee on Banking Supervision. As part of the global financial system, Canada’s financial institutions are expected to maintain high standards of prudence and risk management. The stress test reflects a proactive regulatory stance consistent with global best practices in financial oversight.
Key Takeaways: Navigating the Stress Test
The stress test makes home financing more difficult to obtain. Do the following to enhance your mortgage acquisition strategy:
- Understand Your Budget Before Applying
- Improve Your Financial Profile
- Consider Getting Help
- Explore Non-Bank Alternatives
Understand Your Budget Before Applying
Work with Allen Ehlert to discover your mortgage affordability under stress test conditions. Allen can not only help you with your budget but introduce you to government programs and strategies you can deploy to increase your downpayment, lower your taxes and enhance your future.
Improve Your Financial Profile
Work with Allen Ehlert to create and execute a plan to increase your credit score, pay down and consolidate existing debt, and save for a larger down payment. This can help buyers maximize their borrowing capacity under the stress test guidelines.
Consider Getting Help
In some cases, having a co-borrower, co-signor, or guarantor can help increase the borrowing amount, making the stress test easier to pass. Many Canadians turn to the ‘bank of Mom and Dad’ for assistance. There are opportunities to borrow a portion of your down payment and companies that will offer to be co-owners of your home with you by providing a portion of your down payment.
Explore Non-Bank Alternatives
While traditional banks are subject to stress test requirements, alternative lenders may have different rules, providing more options for buyers struggling to qualify. Also, Credit Unions are not federally but provincially regulated so they may not follow the stress test but they do have their own methods of mitigating excessive lending practices.
Actionable Steps for Real Estate Professionals
- Educate Clients: Regularly update clients on changes to the stress test, particularly when the Bank of Canada announces rate changes. This ensures that clients have realistic expectations.
- Focus on Affordability: Help clients identify properties that fall well within their means, emphasizing homes that will still be affordable if interest rates rise.
- Collaborate with Mortgage Agents: Partnering with mortgage agents allows realtors to provide clients with a holistic view of their financial readiness.
Data Points & Statistics
- As of Q3 2024, only 32% of Canadians qualify for mortgages in major urban centers like Toronto, compared to 42% in 2018.
- 73% of Canadian homebuyers cite the stress test as a significant barrier to homeownership, particularly in high-demand cities.
- The Bank of Canada’s overnight lending rate has risen from 0.25% in 2020 to 5.0% in 2024, illustrating the necessity of stress-tested mortgage applications.
- Average Home Price vs. Mortgage Affordability: According to the Canadian Real Estate Association (CREA), the average home price in Canada has risen by over 50% in the past five years. Meanwhile, stress test regulations have reduced borrowing power by approximately 20%, highlighting the gap between home prices and mortgage affordability.
- Qualification Rates: A study by Mortgage Professionals Canada (MPC) shows that over 18% of potential buyers fail to qualify under the stress test, despite having the income and down payment for a home purchase.
- Interest Rate Sensitivity: OSFI’s analysis indicates that households with higher debt levels are more sensitive to interest rate changes, making the stress test a necessary measure to ensure that borrowers can handle financial shocks.
Summary
While the mortgage stress test can be a hurdle for many Canadians, it serves a critical purpose in maintaining financial stability and preventing over-leverage. Realtors, financial professionals, and homebuyers alike must understand its implications and develop strategies to adapt. By planning ahead, seeking expert advice, and considering all available options, Canadians can navigate the stress test more effectively and work towards achieving their homeownership goals.
If you have questions or need guidance on how to navigate the stress test, feel free to reach out to a mortgage agent or financial planner for personalized advice.

